Tissue Equivalency - How?

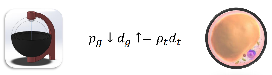
McMaster NEUDOSE's radiation detector will provide dose information that relates to the health of humans in space. In order to do so, the detector must have the same response to radiation as human cells. A typical human cell is 2μm in diameter. Attempting to build a radiation detector on this scale can be extremely troublesome. Tissue equivalency allows us to build a larger detector to avoid the complications of having to build a 2μm detector. Tissue equivalence is attained through altering the composition, density, and volume of the detector.

Our tissue equivalent proportional counter (TEPC) will be filled with an enriched propane gas that has a very similar elemental composition to human tissue. By modifying the density of the gas and the diameter of the spherical container, we can get the detector to simulate the response of a 2μm cell. 

Previous
Previous

Electrical Component Inspection

Next
Next

Huge Thank You to Vision Engineering